회원가입시 광고가 제거 됩니다
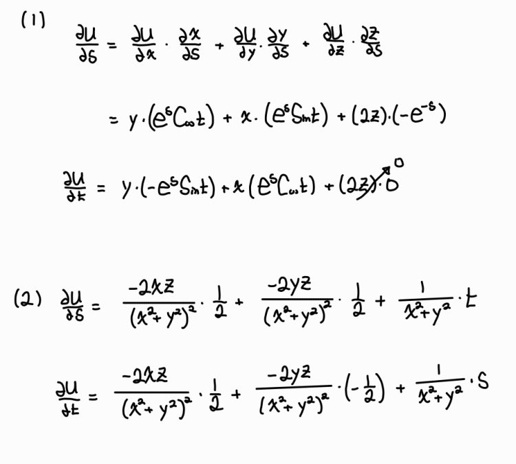
대학 미적분 풀이랑 답 일려주세요
풀이랑 답 일려주세요
본문
질문하기
답변 등록
소설 책 추천 항공과 관련 소설 책 좀 알려주세요ㅠㅠㅠㅠ 승무원 책이 아닌 열정끈기다문화
2025-09-08 19:34:22
승무원학원 승무원을 꿈꾸는 고1인데요 대구에서 살고있어서 대구에서 학원을 알아보고있는데 수도권에있는 학원이
2025-09-08 19:34:17
항공기 지연시 보상청구 기능한가요? 오늘 비행기로 일본출장예정인데 못가고 있습니다.9시25분 출발 비행기가 1시에 출발한다고 합니다.해와여행자보험
2025-09-08 19:34:11
진로 고민 이제 오늘부터 원서 접수를 하는데 아직도 진로를 확실히 정하지 못해서
2025-09-08 19:33:55
누가 연봉이 더 많다고 생각하나요?? 1.5년차간호사2.5년차승무원
2025-09-08 19:33:50